按人民币计算,某企业从国外购进l台设备,该设备的离岸价为300万元,到岸价为380万元,运费率为10%,国外运输保险费率为15%,则该设备的国外运输保险费...

作者: rantiku 人气: - 评论: 0
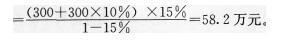
问题 按人民币计算,某企业从国外购进l台设备,该设备的离岸价为300万元,到岸价为380万元,运费率为10%,国外运输保险费率为15%,则该设备的国外运输保险费为( )万元。
选项 A.30 B、45 C、58.2 D、49.5
答案 C
解析 本题考核的是国外运输保险费。国外运输保险费=(离岸价+国外运费)*国外运输保险费率(1-国外运输保险费率),国外运费=离岸价*运费率。国外运输保险费

猜你喜欢

发表评论
更多 网友评论0 条评论)
暂无评论

访问排行

Copyright © 2012-2014 恰考网 Inc. 保留所有权利。 Powered by tikuer.com

页面耗时0.0765秒, 内存占用1.03 MB, Cache:redis,访问数据库18次