某技术方案年设计生产能力为20万吨,年固定成本2200万元,产品销售单价为1200元/吨,每吨产品的可变成本为800元,每吨产品应纳营业税金及附加为180...

作者: rantiku 人气: - 评论: 0
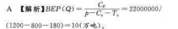
问题 某技术方案年设计生产能力为20万吨,年固定成本2200万元,产品销售单价为1200元/吨,每吨产品的可变成本为800元,每吨产品应纳营业税金及附加为180元,则该产品不亏不盈的年产销量是( )万吨。
选项 A. 10. 00 B. 3. 55 C. 5. 50 D. 20. 00
答案 A
解析

猜你喜欢

发表评论
更多 网友评论0 条评论)
暂无评论

访问排行

Copyright © 2012-2014 恰考网 Inc. 保留所有权利。 Powered by tikuer.com

页面耗时0.0398秒, 内存占用1.03 MB, Cache:redis,访问数据库20次