单因素敏感性分析中,设甲、乙、丙、丁四个因素分别发生5%、10%、10%、15%的变化,使评价指标相应地分别产生10%、15%、25%、25%的变化,则相...

作者: rantiku 人气: - 评论: 0
问题 单因素敏感性分析中,设甲、乙、丙、丁四个因素分别发生5%、10%、10%、15%的变化,使评价指标相应地分别产生10%、15%、25%、25%的变化,则相比而言,最不敏感的因素是()。
选项 A、甲 B、乙 C、丙 D、丁
答案 B
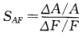
解析 敏感度系数表示技术方案经济效果评价指标对不确定因素的敏感程度。其计算公式为: 式中:SAF——敏感度系数;△F/F——不确定性因素F的变化率(%);△A/A——不确定性因素F发生△F变化时,评价指标A的相应变化率(%)。敏感度系数的绝对值越大,表明评价指标A对于不确定因素F越敏感;反之,则不敏感。丙的敏感度系数为10%/25%=0.4,为四个中最小的

猜你喜欢

发表评论
更多 网友评论0 条评论)
暂无评论

访问排行

Copyright © 2012-2014 恰考网 Inc. 保留所有权利。 Powered by tikuer.com

页面耗时0.0401秒, 内存占用1.03 MB, Cache:redis,访问数据库20次