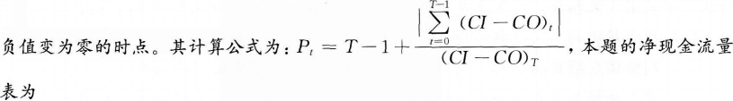
某项目计算期内的现金流量表的数据如下表所示,该项目静态投资回收期为()年。A.3.07B.3.O9C.3.90D.3.16

作者: rantiku 人气: - 评论: 0
问题 某项目计算期内的现金流量表的数据如下表所示,该项目静态投资回收期为()年。
选项 A.3.07 B.3.O9 C.3.90 D.3.16
答案 B
解析 本题考查的是静态投资回收期的计算。技术方案静态投资回收期是在不考虑资金时间价值的条件下,以技术方案的净收益回收其总投资(包括建设投资和流动资金)所需要的时间,一般以年为单位。当技术方案实施后各年的净收益不相同时,静态投资回收期可根据累计净现金流量求得,也就是在技术方案投资现金流量表中累计净现金流量由 因此P1=4-1+100/1100=3.09年。故本题正确选项为B。

猜你喜欢

发表评论
更多 网友评论0 条评论)
暂无评论

访问排行

Copyright © 2012-2014 恰考网 Inc. 保留所有权利。 Powered by tikuer.com

页面耗时0.0317秒, 内存占用1.03 MB, Cache:redis,访问数据库18次