某企业预计从现在起连续3 年每年年末有4 万元的专项支出,为此准备存入银行一笔专项基金。如果银行存款年利率为12%,复利半年计息一次,现在存入银行专项基金...

作者: rantiku 人气: - 评论: 0
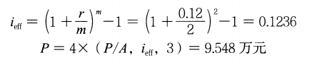
问题 某企业预计从现在起连续3 年每年年末有4 万元的专项支出,为此准备存入银行一笔专项基金。如果银行存款年利率为12%,复利半年计息一次,现在存入银行专项基金的最小额度是(  )万元。
选项 A.9.548 B.9.652 C.10.692 D.19.668
答案 A
解析 先计算出复利半年计息一次的有效利率,再按有效利率计算出3 年等额支付系列现值。

猜你喜欢

发表评论
更多 网友评论0 条评论)
暂无评论

访问排行

Copyright © 2012-2014 恰考网 Inc. 保留所有权利。 Powered by tikuer.com

页面耗时0.0475秒, 内存占用1.03 MB, Cache:redis,访问数据库15次