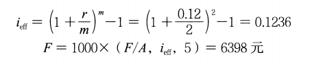
某人从现在起每年年末存款1000 元,存款年利率为12%,复利半年计息一次,期末一次支付利息。则第5 年年末本利和为(  )元。A.5637 B.6353...

作者: rantiku 人气: - 评论: 0
问题 某人从现在起每年年末存款1000 元,存款年利率为12%,复利半年计息一次,期末一次支付利息。则第5 年年末本利和为(  )元。
选项 A.5637 B.6353 C.6398 D.13181
答案 C
解析 先计算出复利半年计息一次的有效利率,再按有效利率计算出5 年等额支付系列终值。 故选项C 正确。

猜你喜欢

发表评论
更多 网友评论0 条评论)
暂无评论

访问排行

Copyright © 2012-2014 恰考网 Inc. 保留所有权利。 Powered by tikuer.com

页面耗时0.0432秒, 内存占用1.03 MB, Cache:redis,访问数据库20次