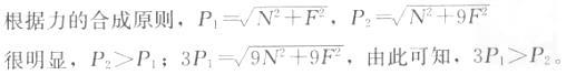
如下图所示,P1、P2分别为两个垂直力的合力,下列各项关于P1、P2的描述,其中正确的是( )。A、 P2=P1B、 P2=3P1C、 P...

作者: rantiku 人气: - 评论: 0
问题 如下图所示,P1、P2分别为两个垂直力的合力,下列各项关于P1、P2的描述,其中正确的是( )。
选项 A、 P2=P1 B、 P2=3P1 C、 P1小于P2小于3P1 D、 P2>3P1
答案 C
解析

猜你喜欢

发表评论
更多 网友评论0 条评论)
暂无评论

访问排行

Copyright © 2012-2014 恰考网 Inc. 保留所有权利。 Powered by tikuer.com

页面耗时0.0323秒, 内存占用1.03 MB, Cache:redis,访问数据库18次