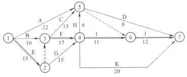
已知某工程的网络计划中相关资料如下表所示。问题:(1)根据上表中相关资料绘制网络图;(2)计算总工期,以及网络图中各工作的六个时间参数(E...

作者: rantiku 人气: - 评论: 0
问题 已知某工程的网络计划中相关资料如下表所示。 问题: (1)根据上表中相关资料绘制网络图; (2)计算总工期,以及网络图中各工作的六个时间参数(ES、EF、LS、LF、TF、FF); (3)找出关键线路,并在图中用双箭线标明。
选项
答案
解析 (1)绘制网络图如下: (2)计算各工作时间参数: 总工期T=55。 1)计算各工作的ES、EF: 2)计算各工作的LS、LF: 3)计算各工作的TF、FF: (3)关键线路:E→F→I→J(或①→②→③→④→⑥→⑦)。

猜你喜欢

发表评论
更多 网友评论0 条评论)
暂无评论

访问排行

Copyright © 2012-2014 恰考网 Inc. 保留所有权利。 Powered by tikuer.com

页面耗时0.0355秒, 内存占用1.03 MB, Cache:redis,访问数据库17次