背景资料某钢筋混凝土框架结构标准厂房建筑,高两层,无地下室,框架柱柱距7.6m。通过公开招标程序,某施工单位与建设单位参照《建设工程施工合同(示范文本...

作者: rantiku 人气: - 评论: 0
问题 背景资料 某钢筋混凝土框架结构标准厂房建筑,高两层,无地下室,框架柱柱距7.6m。通过公开招标程序,某施工单位与建设单位参照《建设工程施工合同(示范文本)》GF一2013—0201签订的承包合同部分内容如下:工程合同总价2100万元,工程价款采用调值公式动态结算;该工程的人工费可调,占工程价款的35%;材料有4种可调:材料1占5%,材料2占15%,材料3占15%,材料4占10%。建设单位在开工前向承包商支付合同价的15%预付备料款,主要材料及构配件金额占合同总额的65%。竣工前全部结清。开工前,施工单位制定了完整的施工方案,采用预拌混凝土,钢筋现场加工,采用覆膜多层板作为结构构件模板,模架支撑采用碗扣式脚手架。施工工序安排框架柱单独浇筑,第二步梁与板同时浇筑。施工过程发生如下事件:事件一:结构设计按最小配筋率配筋,设计中有采用HPB235级φ12mm钢筋,间距200mm。由于当地建材市场HPB235级直径12mm钢筋被淘汰,施工单位征得监理单位和建设单位同意后,按等强度折算后,用HRB335级直径12mm(间距250mm)的钢筋进行代换,保证整体受力不变,并按此组织实施。事件二:二层梁板施工阶段天气晴好,气温16~27℃。梁板模板安装拼接整齐、严密并验收完毕后,进行钢筋的安装,且钢筋绑扎经验收符合规范要求。在混凝土浇筑前,用水准仪抄平,保证每一构件底模表面在同一个平面上,无凹凸不平问题,开始浇筑混凝土,并现场制作混凝土试件。浇筑完毕20小时覆盖并浇水养护。10天后从标准养护室取出一组试件送检试压,其强度达设计强度的80%,施工单位认为已超过设计强度75%,向监理提出拆除底模与架体支撑的申请。事件三:某分项工程20%的工程量改变质量标准,采用其他做法施工,在合同专用条款中未对该项变更价款有约定。施工单位按变更指令施工,在施工结束后的下一个月上报工程款申请的同时,还上报了该设计变更的变更估价申请,监理工程师不同意变更估价。事件四:合同中约定,根据人工费和四项主要材料和价格指数对总造价按调值公式法进行调整。各调值因素的比重、基准和现行价格指数如下表: 竣工结算时,施工单位按调值公式法重新计算实际结算价款。 问题: 1.列式计算该工程预付备料款和起扣点各是多少? 2.指出事件一中的不妥之处,并分别说明理由。 3.指出事件二中的不妥之处,并分别说明理由。 4.事件三中,监理工程师不同意变更估价是否合理?并说明理由。合同专用条款中未约定变更价款的情况下,变更估价应根据什么原则进行处理? 5.事件四中,列式计算经调整后的实际结算价款是多少万元(保留两位小数)?
选项
答案
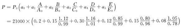
解析 1.【参考答案】工程预付款:2100*15%=315万元预付款起扣点:=2100-315/65%=1615.38万元。【考点解析】此题考察预付款与进度款的计算。背景资料中明确给出“开工前建设单位向承包商支付合同价的15%预付备料款”,则预付备料款等于合同总价的15%,这一问很简单。首先要搞清楚,起扣点不是一个时间概念,而是一个付款金额的概念。关于起扣点,考试用书中公式是这样的:起扣点=承包工程价款总额-预付备料款/主要材料所占比重其实这个公式大可不必死记硬背,你只需记住一条就行了:剩下未完工程所需主要材料和构件的费用,恰好等于前期工程预付款的数额,这个临界点就是起扣点。 2.【参考答案】事件一中不妥之处和理由分别如下:不妥一:按等强度折算后进行钢筋代换。理由:当构件按最小配筋率配筋时,或同钢号钢筋之间的代换,按钢筋代换前后面积相等的原则进行代换。不妥二:征得监理单位和建设单位同意后,按此组织钢筋代换。理由:钢筋代换时,一定要征得设计单位的同意。【考点解析】此题考察混凝土结构工程施工技术。关于钢筋代换的原则,主要分如下几种情况:①当构件配筋受强度控制时,按钢筋代换前后强度相等的原则进行代换。②当构件按最小配筋率配筋时,或同钢号钢筋之间的代换,按钢筋代换前后面积相等的原则进行代换;③当构件受裂缝挠度控制时,代换前后应进行裂缝宽度和挠度验算。根据背景材料的描述,本工程结构设计按最小配筋率配筋考虑,则钢筋代换时,应按代换前后面积相等的原则进行代换。另,钢筋代换时,一定要征得设计单位的同意,其代换程序才合法。 3.【参考答案】件二中不妥之处和理由分别如下:不妥一:保证每一构件底模表面在同一个平面上,无凹凸不平问题。理由:对于跨度不小于4m的现浇钢筋混凝土梁、板,其模板应按设计要求起拱。当设计无具体要求时,起拱高度应为跨度的1/1000~3/1000。不妥二:浇筑完毕20小时后覆盖并浇水养护。理由:应在混凝土浇筑完成、终凝前(通常为混凝土浇筑完毕后8~12h内)开始进行养护。不妥三:从标准养护室取出一组送检试压后强度判断拆除底模与架体支撑。理由:应该用同条件养护试块试压后强度判断拆除底模与架体支撑。【考点解析】此题考察混凝土结构工程施工技术。通常在背景材料中出现施工过程描述时,大多数情况下都会提问不妥之处、并简述理由或给出正确做法,本问题也不例外。在熟悉背景资料时,应看清楚背景资料中的断句方式,事件二中共有五个句号,即交待了五个方面。每一句话逐个分析,并做好标记针对存在的不妥,一一对应作答。看清楚提问的范围,本例第3问,只针对事件二提问,便不要纠缠于题干中其他问题,仅就事件二进行作答。事件二的描述中,特意增加了关于天气、气温条件、过程验收等迷惑性表述。真正的问题有三方面:(1)模板支设完后用水准仪抄平,保证在同一个平面上,那就表示没有起拱。而背景材料中明确交待本工程框架柱柱距为7.6m。根据《混凝土结构工程施工质量验收规范》的要求,对于跨度不小于4m的现浇钢筋混凝土梁、板,其模板应按设计要求起拱。当设计无具体要求时,起拱高度应为跨度的1/1000~3/10000背景材料没有说明设计是否有要求,在应考时,切不可去假设设计会如何要求,只能按设计无具体要求的情况来作答,即跨度的1/1000~3/1000起拱。(2)浇筑完毕20小时后覆盖并浇水养护是有问题的,通常情况下,应在混凝土浇筑完成、终凝前开始进行养护。天气晴好,气温较高,混凝土浇筑完毕20小时以后,早就因为表面失水产生大量收缩裂缝了。(3)事件二的第五句话前半句是这样说的:“10天后从养护室取出一组送检试压,其强度达设计强度的80%”,单看前半句话,是没有问题的,但如果和后半句话放在一起的话,那问题就出来了,而且问题还比较隐蔽,不容易发现。混凝土试件10天后试压的目的是什么?为了判断是否可以拆除构件底模和架体支撑。如果明说用标准养护试块来判定是否可以拆除构件底模和架体支撑,估计所有考生都能回答正确,凭常识,应该用同条件养护试块啊。但事件二换了一种比较隐蔽的说法来表述,结果就有很多考生把关注点全放在这可恨的75%上了,框架柱柱距7.6m,证明梁的跨度肯定≤8m了嘛,达到设计强度的75%就可以拆了,事件二中描述都达到80%了,提出拆模,做得对呀。结果,这么简单的知识点的分值,白白丢掉了,可惜嘛。当然,如果你连这个拆模常识性数据都不知道,认为这个不正确,那丢分就不值得可惜了。 4.【参考答案】(1)监理工程师不同意变更估价:合理。理由:承包人应在收到变更指示后14天内,向监理人提交变更估价申请。若承包方未提出或未在规定时间内提出变更估价,视为该项变更不涉及合同价款的变动。(2)除专用合同条款另有约定外,变更估价按照本款约定处理:①已标价工程量清单或预算书有相同项目的,按照相同项目单价认定;②已标价工程量清单或预算书中无相同项目,但有类似项目的,参照类似项目的单价认定;③变更导致实际完成的变更工程量与已标价工程量清单或预算书中列明的该项目工程量的变化幅度超过15%的,或已标价工程量清单或预算书中无相同项目及类似项目单价的,按照合理的成本与利润构成的原则,由合同当事人商定或确定变更工作的单价。【考点解析】根据《建设工程施工合同(示范文本)》GF-2013-0201第10.4.2条规定,承包人应在收到变更指示后14天内,向监理人提交变更估价申请。监理人应在收到承包人提交的变更估价申请后7天内审查完毕并报送发包人,监理人对变更估价申请有异议,通知承包人修改后重新提交。发包人应在承包人提交变更估价申请后14天内审批完毕。发包人逾期未完成审批或未提出异议的,视为认可承包人提交的变更估价申请。若施工方未提出或未在规定时间内提出变更估价,视为该项变更不涉及合同价款的变动。由此可见,监理工程师不同意是合理的。根据《建设工程施工合同(示范文本)》GF-2013-0201第10.4.1条规定,除专用合同条款另有约定外,变更估价按照本款约定处理:①已标价工程量清单或预算书有相同项目的,按照相同项目单价认定;②已标价工程量清单或预算书中无相同项目,但有类似项目的,参照类似项目的单价认定;③变更导致实际完成的变更工程量与已标价工程量清单或预算书中列明的该项目工程量的变化幅度超过15%的,或已标价工程量清单或预算书中无相同项目及类似项目单价的,按照合理的成本与利润构成的原则,由合同当事人商定或确定变更工作的单价。 5.【参考答案】动态结构调值公式及计算过程如下:先计算不调值部分所占比重1-(0.35+0.05+0.15+0.15+0.1)=0.2 =21000*(0.2+0.17+0.34+0.10+0.13+0.11)=22050万元(如用科学计算器,计算过程中不舍小数位,结果应为:22049.45万元)【考点解析】此题考察工程竣工结算。首先,得搞清楚什么是调值公式动态结算。所谓调值公式,其实是一个加权调整的过程,根据价格指数变化的各部分的权重和价格变化幅度,以加权的计算方式计算出来的工程实际结算价款,其公式如下: P= 式中P——工程实际结算价款;P0——调值前工程价款;a0——不调值部分所占比重5a1、a2、a3、a4…——调值各部分所占比重;A、B、C、D…——计算期价格指数;A0、B0、C0、D0…——基期价格指数。本案例中可调整部分共有五项:人工费、材料1、材料2、材料3、材料4,其所占比重分别为0.15、0.30、0.12、0.15、0.08。其实题干中还有一个隐含条件,也就是不调值部分的比重,即1-(0.15+0.30+0.12+0.15+0.08)=0.2。剩下的计算就简单了,直接套用加权平均的调值公式即可。

猜你喜欢

发表评论
更多 网友评论0 条评论)
暂无评论

访问排行

Copyright © 2012-2014 恰考网 Inc. 保留所有权利。 Powered by tikuer.com

页面耗时0.0499秒, 内存占用1.06 MB, Cache:redis,访问数据库20次