同一长度的压杆,截面积及材料均相同,仅两端支承条件不同,则()杆的临界力最小。A:两端铰支B:一端固定,一端自由C:一端固定,一端铰支D:两端固定

作者: rantiku 人气: - 评论: 0
问题 同一长度的压杆,截面积及材料均相同,仅两端支承条件不同,则()杆的临界力最小。
选项 A:两端铰支 B:一端固定,一端自由 C:一端固定,一端铰支 D:两端固定
答案 B
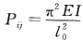
解析 临界力Pij的大小与压杆的材料、压杆的截面形状与大小、压杆的长度和压杆的支承情况有关。当压杆的长度、材料和截面积相同时,不同支座情况的临界力的计算公式为:,l0称压杆的计算长度。当柱的一端固定一端自由时,l0=2l;两端固定时,l0=0.5l;一端固定一端铰支时,l0=0.7l;两端铰支时,l0=l。可知,当压杆一端固定,一端自由时的临界力最小。

猜你喜欢

发表评论
更多 网友评论0 条评论)
暂无评论

访问排行

Copyright © 2012-2014 恰考网 Inc. 保留所有权利。 Powered by tikuer.com

页面耗时0.0360秒, 内存占用1.03 MB, Cache:redis,访问数据库19次