关于细长压杆临界力的说法,正确的有()。A:临界力与压杆材料的弹性模量成正比B:临界力与压杆截面惯性矩成正比C:临界力与压杆计算长度成反比D:...

作者: rantiku 人气: - 评论: 0
问题 关于细长压杆临界力的说法,正确的有()。
选项 A:临界力与压杆材料的弹性模量成正比 B:临界力与压杆截面惯性矩成正比 C:临界力与压杆计算长度成反比 D:临界力与压杆支座反力成反比 E:相同长度的压杆,支座情况不同,则临界力不同
答案 ABE
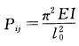
解析 压杆临界力计算公式为。式中:E为材料的弹性模量,I为杆件截面惯性矩,l0为压杆计算长度。当压杆的一端固定一端自由时,计算长度为实际长度的2倍;两端固定时,计算长度为实际长度的0.5倍;一端固定一端铰支时,计算长度为实际长度的0.7倍;两段铰支时,计算长度等于实际长度。

猜你喜欢

发表评论
更多 网友评论0 条评论)
暂无评论

访问排行

Copyright © 2012-2014 恰考网 Inc. 保留所有权利。 Powered by tikuer.com

页面耗时0.0315秒, 内存占用1.03 MB, Cache:redis,访问数据库20次