背景北京某工程据统计混凝土实物工作量约为23000m3,混凝土为(商混)不考虑现场搅拌,混凝土养护用水定额取700L/m3;拟定结构及前期阶段施工工期...

作者: rantiku 人气: - 评论: 0
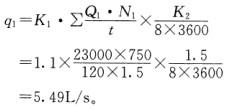
问题 背景 北京某工程据统计混凝土实物工作量约为23000m3,混凝土为(商混)不考虑现场搅拌,混凝土养护用水定额取700L/m3;拟定结构及前期阶段施工工期为300d;每天按照1.5个工作班计算。其中:K1=1.1,Q1=23000m3,N1=750L/m3,T1=120d,t=1.5班,K2=1.5。生活区高峰人数为500人,生活用水定额其中包括:卫生设施用水定额为25L/人;食堂用水定额为15L/人;洗浴用水定额为30L/人(人数按照出勤人数的30%计算);洗衣用水定额为30L/人;生活用水不均衡系数K4=2.0,全天用水。 问题 (1)计算该工程总用水量; (2)计算给水主干管管径(水流速度1.5m/s)
选项
答案
解析 (1)工程总用水量计算1)首先计算现场施工用水量: 2)工人生活区用水: 3)设定消防用水量:因为该区域工地面积远小于5hm2,故按最小消防用水量选用:q5=10L/s4)总用水量计算:q1+q3=5.49+0.91=6.4L/s<q5,故总用水量按消防用水量考虑,Q=q5=10L/s。 (2)给水主干管管径计算 按水管管径规定系列选用,最靠近92mm的规格是100mm,故本工程临时给水干管选用φ100管径。

猜你喜欢

发表评论
更多 网友评论0 条评论)
暂无评论

访问排行

Copyright © 2012-2014 恰考网 Inc. 保留所有权利。 Powered by tikuer.com

页面耗时0.0338秒, 内存占用1.03 MB, Cache:redis,访问数据库20次