某受压细长杆件,两端铰支,其临界力为50kN,若将杆件支座形式改为两端固定,其临界力应为()kN。A:50B:100C:150D:200

作者: rantiku 人气: - 评论: 0
问题 某受压细长杆件,两端铰支,其临界力为50kN,若将杆件支座形式改为两端固定,其临界力应为()kN。
选项 A:50 B:100 C:150 D:200
答案 D
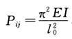
解析 不同支座情况的临界力的计算公式为: ,l0称压杆的计算长度。当柱的一端固定一端自由时,l0=2l;两端固定时,l0=0.5l;一端固定一端铰支时,l0=0.7l;两端铰支时,l0=l。

猜你喜欢

发表评论
更多 网友评论0 条评论)
暂无评论

访问排行

Copyright © 2012-2014 恰考网 Inc. 保留所有权利。 Powered by tikuer.com

页面耗时0.0370秒, 内存占用1.03 MB, Cache:redis,访问数据库20次