关于悬臂梁端部最大位移的说法,正确的有( )。A、跨度越大,影响越大 B、截面的惯性矩越大,影响越小 C、截面积越大,影响越小 D、材料弹...

作者: rantiku 人气: - 评论: 0
问题 关于悬臂梁端部最大位移的说法,正确的有( )。
选项 A、跨度越大,影响越大 B、截面的惯性矩越大,影响越小 C、截面积越大,影响越小 D、材料弹性模量越大,影响越大 E、外荷载越大,影响越大
答案 ABE
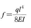
解析 根据结构力学基础知识,悬臂梁端部最大位移计算公式为: 其中:q—荷载强度;l—梁的跨度;E—材料的弹性模量;I—截面惯性矩。

猜你喜欢

发表评论
更多 网友评论0 条评论)
暂无评论

访问排行

Copyright © 2012-2014 恰考网 Inc. 保留所有权利。 Powered by tikuer.com

页面耗时0.0282秒, 内存占用1.03 MB, Cache:redis,访问数据库19次