A施工单位承建某新建单线铁路工程中有1座隧道工程长2600m,其余路段为路基土石方。根据设计图纸,正洞中围岩的绝大部分是Ⅱ级围岩,局部有节理较发育的Ⅲ级围...

作者: rantiku 人气: - 评论: 0
问题 A施工单位承建某新建单线铁路工程中有1座隧道工程长2600m,其余路段为路基土石方。根据设计图纸,正洞中围岩的绝大部分是Ⅱ级围岩,局部有节理较发育的Ⅲ级围岩,进口处50m为埋深较深且比较破碎的Ⅴ级围岩,拟采用小断面弱爆破暗挖法,并辅助进行超前支护。出口处40m埋深较浅且极易破碎的Ⅵ级围岩,拟采用明挖法,修筑一段明洞。正洞开挖施工拟采用全断面钻爆法。在施工前及施工中有以下情况: 1.进口处的软弱围岩施工拟采用“管超前、严注浆、长进尺、勤量测、晚封闭、快衬砌”的工法。 2.施工中选择的监控量测项目有洞内外观察、水平相对净空变化值和隧道底部隆起等项目。 3.进洞支护方案采用喷射混凝土支护方法,正洞支护采用超前支护方法。出碴方案采用有轨运输方式。 4.每一单口循环开挖进度为2. 80m,综合循环时间为12. 4h。假定按三班制组织施工,每月作业时间30d,考虑工程环境和时间利用率后的修正系数0.850隧道从进出口外不具备作业面条件,进口处施工需1个月,出口段及明洞需3个月,施工准备2个月(不考虑两工作面相向施工临近贯通相距8循环进尺前一方要撤出对工期的影响)。 5.工程实施过程中,施工单位A将隧道出口明挖段回填土工程外加与此连接的1500m路基土石方工程直接分包给某施工单位B,并签订分包合同。工程铺轨前,监理单位组织路基检测时发现明挖段路基填方密实度不合格。 6.在一次爆破中发生一起安全事故,轻伤2人。经调查此2人不是爆破工却执行了爆破作业。 问题: 1.进口处软弱围岩的工法是否有不妥之处?若不妥,指出不妥之处,并改正。 2.施工中选择的监控量测项目是否完整?如不完整,请补充。 3.背景3中的施工方案是否正确?若不妥,请说明正确做法。 4.由背景4数据计算:(1)单口月开挖进度;(2)如果该隧道开设两个工作面,计算该隧道工程的掘进工期(不考虑两工作面相向施工临近贯通点应由单工作面开挖对工期的影响)。 5.对于填土质量问题,A施工单位是否有责任?在工程质量方面,两单位有何关系? 6.针对背景6中提到的安全事故,事故发生的原因是什么?对于爆破人员管理和爆破组织应注意哪些问题?
选项
答案
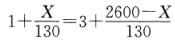
解析 1.有不妥之处。进口处软弱围岩应坚持“短进尺”和“早封闭”原则。 2.不完整。隧道监控量测项目还必须有“拱顶下沉”和“洞口段地表下沉”量测项目。 3.不正确。根据本工程实际,进洞支护方案应采用超前支护方案;正洞支护可采取喷射混凝土的普通支护方法;对于长度短且大断面开挖隧道,出碴方案应采用无轨运输方式,并应注意加强通风。 4. (1)单口月开挖进度为:(24/12.4)*2.8*30*0.85≈130m (2)如采用单口掘进,正洞掘进持续时间:2600/130=20个月 采用双口掘进,进口段进洞1个月,出口段需3个月,进口段作业面比出口段作业面早施工2个月。进口段与出口段工作面各分摊1个月。进口段工作面在正洞内施工时间:20/2+1=11个月,总时间:11+1+2=14个月。或:设进口段工作面在正洞内掘进Xm,出口段工作面在正洞内掘进(2600-X)m。进口和出口段自施工准备完成后同时开始施工,平行作业。则两工作面工作时间应满足以下等式: 解得:X=1430(m) 两工作面各自工作 时间(含施工准备时间):2+1+1430/130=1 4个月 5.对于合同约定的工程项目范围内的填土不实,施工单位A应承担连带责任。承包方应对项目质量向发包方负责,分包工程的质量应由分包方向承包方负责,承包方应对分包方的工程质量向发包方承担连带责任。分包方应接受承包方的管理。 6.(1)此次安全事故发生的原因有:违反爆破操作规程或劳动纪律;对现场工作缺乏检查或指挥错误;安全设施缺少或有缺陷。(2)爆破人员必须经工程所在地县以上公安部门考核合格后,持《爆破员合格证》上岗;爆破作业必须有统一指挥,按照爆破施工方案和作业规程严格实施。

猜你喜欢

发表评论
更多 网友评论0 条评论)
暂无评论

访问排行

Copyright © 2012-2014 恰考网 Inc. 保留所有权利。 Powered by tikuer.com

页面耗时0.0568秒, 内存占用1.04 MB, Cache:redis,访问数据库17次