1.某新建单线铁路的控制性工程是大山隧道,长4680m,围岩级别是Ⅲ、Ⅳ、Ⅴ级,设置1座横洞。2.根据施工组织设计要求:施工准备2个月,进口段1个月,...

作者: rantiku 人气: - 评论: 0
问题 1.某新建单线铁路的控制性工程是大山隧道,长4680m,围岩级别是Ⅲ、Ⅳ、Ⅴ级,设置1座横洞。 2.根据施工组织设计要求:施工准备2个月,进口段1个月,出口段3个月,横洞4个月。隧道围岩分布如下图所示。 3.根据施工组织设计要求横洞进行两个作业面施工。隧道按设计超前地质预报纳入工序,Ⅴ级围岩设置小导管超前支护,其他为锚喷支护。Ⅲ级围岩采用全断面开挖,Ⅳ级围岩采用台阶法,Ⅴ级围岩采用中隔壁法(CD法)开挖。 4.根据本企业施工工艺水平,对各种围岩的循环进尺、循环作业时间及环境和经验修正系数如下表所示。假定按三班制组织施工,每月作业时间30d。 5.在施工过程中,进口工作面和横洞向小里程工作面开挖过程中,在接近贯通时,两端工作面为迎接2天后的隧道贯通庆典,加紧施工,在双方距离6m时,进口工作面爆破时,导致横洞向小里程掘进工作面拱部石头塌落,砸死2人。经调查此爆破工没有爆破操作合格证却执行了爆破作业。 问题: 1.简述Ⅴ级围岩采用中隔壁法的基本步骤。 2.针对背景5中提到的安全事故,施工组织有何错误之处? 3.计算该隧道各级围岩的掘进进度指标。 4.计算该隧道掘进工期(含施工准备时间,考虑两工作面相向开挖施工临近贯通点应由单工作面开挖对工期的影响)。 5.画出该隧道的施工形象进度示意图(时间—里程图)。
选项
答案
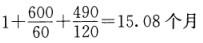
解析 1.Ⅴ级围岩采用中隔壁法的基本步骤: (1)右侧(或左侧)拱部及中隔壁超前小导管;(2)上台阶右侧(或左侧)土石方开挖及初期支护;(3)下台阶右侧(或左侧)开挖及初期支护;(4)上台阶左侧(或右侧)土石方开挖及初期支护;(5)下台阶左侧(或右侧)开挖及初期支护;(6)分段拆除纵横支撑,进行基面处理;(7)施作仰拱衬砌;(8)施作边墙与拱部二次衬砌。 2.此次安全事故发生的原因有: (1)违反爆破操作规程或劳动纪律:两工作面接近贯通时,两端施工应加强联系,统一指挥。当两端工作面间的开挖距余留8倍循环进尺,或接近15m时,未停止一端工作和将人员和机具撤走。(2)对现场工作缺乏检查或指挥错误:两工作面洞内爆破未做到统一指挥;也没有专职爆破工担任爆破任务;在两个开挖面相离200m内时,爆破时未能提前一个小时通报。(3)安全设施缺少或有缺陷。 3.Ⅲ级围岩掘进进度指标: 施工进度= 循环进尺(m)/ 循环时间(min) *60*2 4*30*0.8 5=4/918*60*24*30*0. 85=160m/月 Ⅳ级围岩掘进进度指标:施工进度=2.5/765*60*24*30*。.85=120m/月 Ⅴ级围岩掘进进度指标:施工进度=1.3/796*6 0*24*30*0.85=60m/月 4.掘进工期计算 设出口段工作面在正洞内掘进600m V级围岩后继续向小里程方向掘进Ⅳ级围岩Xm,横洞工作面在正洞内向隧道出口方向掘进Ⅳ级围岩(1800 - X) m。两工作面自施工准备完成后同时开始施工,平行作业,直至贯通前两端工作面间的开挖距离8倍循环进尺(2.5*8=20m)时,由出口段工作面单独掘进。则两工作面工作时间应满足以下等式: 解得:X=490m 隧道出口工作面工作时间(不含施工准备时间):横洞工作面向大里程(隧道出口)方向掘进工作时间(不含施工准备时间):4+(1800-490)/120=14.92个月 设进口段工作面在正洞内掘进360mⅤ级围岩后继续向大里程方向掘进Ⅳ级围岩Ym,横洞工作面在正洞内向隧道进口方向(小里程方向)掘进Ⅲ级围岩480m后继续向隧道进口方向掘进Ⅳ级围岩(1440-Y)m。两工作面自施工准备完成后同时开始施工,平行作业,直至贯通前两端工作面间的开挖距离8倍循环进尺(2.5*8=20m)时,由进口段工作面单独掘进,横洞工作面此时要撤出。则两工作面工作时间应满足以下等式: 解得:Y=830m 横洞向小里程掘进工 面工作时间(不含施工准备 时间): 隧道进口工作面工作时间(不含施工准备时间): 包含施工准备时间四个工作面的施工工期分别为: 隧道出口工作面:2+15. 08=17. 08个月 横洞工作面向大里程(隧道出口)方向工作面:2+14. 92=16. 92个月 横洞向小里程方向工作面:2+13. 92=15. 92个月 隧道进口工作面:2+14. 08=16. 08个月 因此,本隧道工程掘进工期受隧道出口工作面掘进工期控制,总掘进工期为17. 08个月。 (注:根据隧道施工安全控制要求,两工作面接近贯通时,两端施工应加强联系,统一指挥。当两端工作间的开挖距余留8倍循环进尺,或接近15m时,应停止一端工作,将人员和机具撤走,并在安全距离以外设立警戒标志,防止人员误入危险区。) 5.该隧道的施工形象进度示意图(时间—里程图)见下图。

猜你喜欢

发表评论
更多 网友评论0 条评论)
暂无评论

访问排行

Copyright © 2012-2014 恰考网 Inc. 保留所有权利。 Powered by tikuer.com

页面耗时0.0489秒, 内存占用1.04 MB, Cache:redis,访问数据库19次