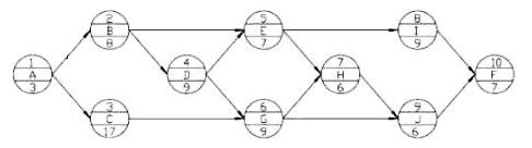
某分部工程单代号网络计划如下图所示,节点中下方的数字为该工作的持续时间,单位:天。其关键线路有( )条。A. 1B. 2C. 3D. 4

作者: rantiku 人气: - 评论: 0
问题 某分部工程单代号网络计划如下图所示,节点中下方的数字为该工作的持续时间,单位:天。其关键线路有( )条。
选项 A. 1 B. 2 C. 3 D. 4
答案 B
解析 本题考核的是关键线路。 关键线路为总工期最长的路线。总工期为48天,用标号法计算得出共有2条路线:A-B-D-G-H-J-F和A-C-G-H-J-F。 综上所述,正确选项为B。

猜你喜欢

发表评论
更多 网友评论0 条评论)
暂无评论

访问排行

Copyright © 2012-2014 恰考网 Inc. 保留所有权利。 Powered by tikuer.com

页面耗时0.0308秒, 内存占用1.03 MB, Cache:redis,访问数据库17次