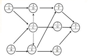
某单代号网络图如下图所示,存在的错误有( )。A.多个起点节点 B.有多余虚箭线 C.出现交叉箭线 D.没有终点节点 E.出现...

作者: rantiku 人气: - 评论: 0
问题 某单代号网络图如下图所示,存在的错误有( )。
选项 A.多个起点节点 B.有多余虚箭线 C.出现交叉箭线 D.没有终点节点 E.出现循环回路
答案 AC
解析 本题考查单代号网络计划图的特点:工作之间的逻辑关系容易表达,且不用虚箭线,故绘图较简单;网络图便于检查和修改;由于工作持续时间表示在节点之中,没有长度,故不够直观;表示工作之间逻辑关系的箭线可能产生较多的纵横交叉现象。参见教材P135。

猜你喜欢

发表评论
更多 网友评论0 条评论)
暂无评论

访问排行

Copyright © 2012-2014 恰考网 Inc. 保留所有权利。 Powered by tikuer.com

页面耗时0.0304秒, 内存占用1.03 MB, Cache:redis,访问数据库18次