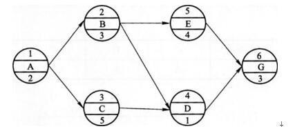
下图所示的单代号网络计划,其计算工期为(  )天。A.11B.9C.12D.15

作者: rantiku 人气: - 评论: 0
问题 下图所示的单代号网络计划,其计算工期为(  )天。
选项 A.11 B.9 C.12 D.15
答案 C
解析 计算工期为:2+3+4+3=12天。所以C正确。

猜你喜欢

发表评论
更多 网友评论0 条评论)
暂无评论

访问排行

Copyright © 2012-2014 恰考网 Inc. 保留所有权利。 Powered by tikuer.com

页面耗时0.0305秒, 内存占用1.03 MB, Cache:redis,访问数据库19次