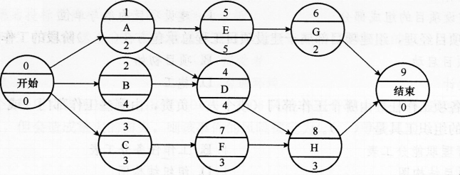
某工程单代号网络图如下图所示,说法正确的是(  )。A.工作D的ES为2B.工作G的FF为2C.工作F的FF为1?D.工作H的FF为1

作者: rantiku 人气: - 评论: 0
问题 某工程单代号网络图如下图所示,说法正确的是(  )。
选项 A.工作D的ES为2 B.工作G的FF为2 C.工作F的FF为1? D.工作H的FF为1
答案 B
解析 本题考核的是单代号网路计划时问参数的计算。工作的最早开始时问等于其紧前工作最早完成时间的最大值。工作D的最早开始时间ES=MAX{0+2,0+4}=4。 工作的自由时差等于本工作与其紧后工作之间时间间隔的最小值。相邻两项工作之间的时间间隔是指其紧后工作的最早开始时间与本工作最早完成时间的差值。工作G的自由时差FF=11-9=2。工作F的自由时差FF=8-6=2。工作H的自由时差FF=11-11=0。

猜你喜欢

发表评论
更多 网友评论0 条评论)
暂无评论

访问排行

Copyright © 2012-2014 恰考网 Inc. 保留所有权利。 Powered by tikuer.com

页面耗时0.0272秒, 内存占用1.03 MB, Cache:redis,访问数据库16次