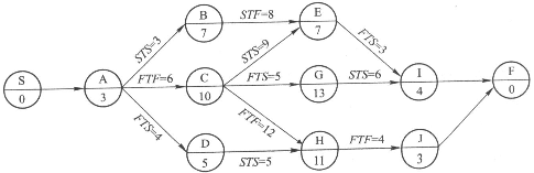
下图所示的单代号搭接网络计划(时间单位:天),其计算工期是( )天。A.26B.27C.28D.29

作者: rantiku 人气: - 评论: 0
问题 下图所示的单代号搭接网络计划(时间单位:天),其计算工期是( )天。
选项 A.26 B.27 C.28 D.29
答案 C
解析 计算该单代号搭接网络计划的时间参数,如图所示:

猜你喜欢

发表评论
更多 网友评论0 条评论)
暂无评论

访问排行

Copyright © 2012-2014 恰考网 Inc. 保留所有权利。 Powered by tikuer.com

页面耗时0.0375秒, 内存占用1.03 MB, Cache:redis,访问数据库19次