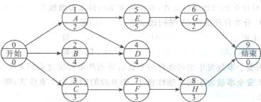
某工程单代号网络图如下,说法正确的是()A.工作D的ES为2B.工作G的FF为2C.工作F的FF为1D.工作H的FF为1

作者: rantiku 人气: - 评论: 0
问题 某工程单代号网络图如下,说法正确的是()
选项 A.工作D的ES为2 B.工作G的FF为2 C.工作F的FF为1 D.工作H的FF为1
答案 B
解析 教材P143 D工作的最早开始时间为4,工作G的自由时差为2天,F的自由时差为2,H的自由时差为0,所以只有B正确。

猜你喜欢

发表评论
更多 网友评论0 条评论)
暂无评论

访问排行

Copyright © 2012-2014 恰考网 Inc. 保留所有权利。 Powered by tikuer.com

页面耗时0.0340秒, 内存占用1.03 MB, Cache:redis,访问数据库19次