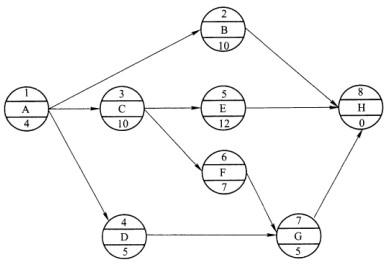
某工程单代号网络计划如下图所示,其关键线路有()条A:2B:3C:4D:5

作者: rantiku 人气: - 评论: 0
问题 某工程单代号网络计划如下图所示,其关键线路有()条
选项 A:2 B:3 C:4 D:5
答案 A
解析 图中关键线路一共两条。关键线路1A→C→E→H关键线路2A→C→F→G→H所以A正确。

猜你喜欢

发表评论
更多 网友评论0 条评论)
暂无评论

访问排行

Copyright © 2012-2014 恰考网 Inc. 保留所有权利。 Powered by tikuer.com

页面耗时0.0317秒, 内存占用1.03 MB, Cache:redis,访问数据库19次