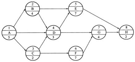
某工程单代号网络计划如下图所示(时间:天),正确的有()。A:B是关键工作B:关键线路长度为21C:D工作的自由时差为1D:F工作的最迟开...

作者: rantiku 人气: - 评论: 0
问题 某工程单代号网络计划如下图所示(时间:天),正确的有()。
选项 A:B是关键工作 B:关键线路长度为21 C:D工作的自由时差为1 D:F工作的最迟开始时间为7 E:C工作的总时差为1
答案 ABE
解析 单代号网络计划的时间参数计算。

猜你喜欢

发表评论
更多 网友评论0 条评论)
暂无评论

访问排行

Copyright © 2012-2014 恰考网 Inc. 保留所有权利。 Powered by tikuer.com

页面耗时0.0340秒, 内存占用1.03 MB, Cache:redis,访问数据库19次