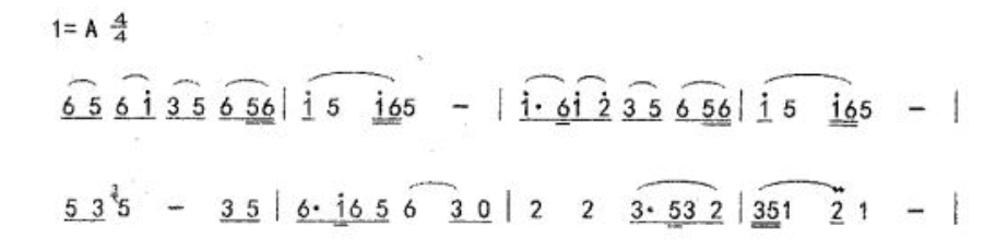
下面谱例出自河北沧州《茉莉花》, 它被运用在哪一部管弦乐作品中? ( ) A. 谭盾《纸乐》 B. 鲍元恺《炎黄风情》 C. 朱践耳《江雪》 ...

作者: tihaiku 人气: - 评论: 0
问题 下面谱例出自河北沧州《茉莉花》, 它被运用在哪一部管弦乐作品中? ( )
选项 A. 谭盾《纸乐》 B. 鲍元恺《炎黄风情》 C. 朱践耳《江雪》 D. 徐振民《枫桥夜泊》
答案 B
解析 鲍元恺于1991年创作完成的《炎黄风情》,是一部由24首管弦乐曲组成的大型组曲。这部组曲以中国六个省中流传久远、脍炙人口的民歌为主题,绘成了色彩绚丽的音乐画卷,其中包含河北沧州民歌《茉莉花》。

相关内容:下面,谱例,河北,沧州,茉莉花,管弦乐,作品,谭盾,纸乐,鲍元,炎黄风情,朱践耳,江雪

猜你喜欢

发表评论
更多 网友评论0 条评论)
暂无评论

Copyright © 2012-2014 恰考网 Inc. 保留所有权利。 Powered by tikuer.com

页面耗时0.0635秒, 内存占用1.04 MB, Cache:redis,访问数据库17次