快、中、慢三辆车同时从同一地点出发,沿同一公路追赶前面的一个骑车人。这三辆车分别用6分钟、10分钟、12分钟追上骑车人。现在知道快车每小时行驶24千米,中...

作者: rantiku 人气: - 评论: 0
问题 快、中、慢三辆车同时从同一地点出发,沿同一公路追赶前面的一个骑车人。这三辆车分别用6分钟、10分钟、12分钟追上骑车人。现在知道快车每小时行驶24千米,中车每小时行驶20千米,那么,慢车每小时行驶多少千米?( ) A. 19 B. 16 C. 15 D. 14
选项
答案 A
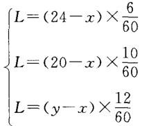
解析 设骑车人的速度为x千米/小时,慢车的速度为y千米/小时,骑车人和出发地点的距离为L,列方程得 解得x=14,y=19。故本题答案为A。

猜你喜欢

发表评论
更多 网友评论0 条评论)
暂无评论

访问排行

Copyright © 2012-2014 恰考网 Inc. 保留所有权利。 Powered by tikuer.com

页面耗时0.0341秒, 内存占用1.03 MB, Cache:redis,访问数据库16次