ΔABC的三个角从小到大依次为∠A、∠8和<C,∠A+∠C=2∠B,∠B+⊥C=3∠A,如 果边长AC=2,则ΔABC的面积为( ).

作者: rantiku 人气: - 评论: 0
问题 ΔABC的三个角从小到大依次为∠A、∠8和<C,∠A+∠C=2∠B,∠B+⊥C=3∠A,如 果边长AC=2,则ΔABC的面积为( ).
选项
答案 B
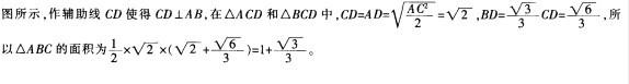
解析 【答案】B.解析

猜你喜欢

发表评论
更多 网友评论0 条评论)
暂无评论

访问排行

Copyright © 2012-2014 恰考网 Inc. 保留所有权利。 Powered by tikuer.com

页面耗时0.0454秒, 内存占用1.03 MB, Cache:redis,访问数据库18次