材料题 某汽车客运公司目前主要经营三类客运班线的班车客运业务,2007年底拥有平均座位30座位的自有营运客车40辆,其中15辆客车的技术性能、车辆外廓尺...

作者: tihaiku 人气: - 评论: 0
问题 材料题 某汽车客运公司目前主要经营三类客运班线的班车客运业务,2007年底拥有平均座位30座位的自有营运客车40辆,其中15辆客车的技术性能、车辆外廓尺寸、轴荷和质量均符合国家有关标准与规定,其技术等级均达到了二级以上标准,类型等级达到了行业标准规定的高级标准,驾驶员全部取得了相应的机动车驾驶证,年龄均不超过60岁,且3年内无重大以上交通责任事故记录。2007年完成旅客周转量9460.8万人千米。为了扩大市场经营范围,公司决定申请从事二类客运班线经营业务,2008年投资购置10辆40座的豪华高级客车。现有四种车型购置选择方案,而且每种车型的工作率、行程利用率等运用效率指标相同,其他资料如下表。 已知:(P/A,10%,10)=6.145;(F/A,10%,10)=15.937 根据上述资料,回答98-100题: 该公司最经济的车辆购置方案是( )。查看材料
选项 A.A型车 B.B型车 C.C型车 D.D型车 E.A、C型车
答案 B
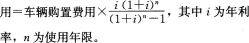
解析 本题考查通过年金计算资金的现值。将每种方案的费用折算成现值进行比较, 方法一:通过每年使用费计算资金的现值。将每种方案的每年使用费用折算成资金现值,然后加上购置费用,将总额进行比较。根据公式P=A(P/A,i,n),将年金转换为资金现值,再加上购置费用。 A型车总费用=39700×6.145+168000=411956.5(元); B型车总费用=37300×6.145+180000=409208.5(元); C型车总费用=35800×6.145+200000=419991(元); D型车总费用=33200×6.145+240000=444014(元)。 通过比较总费用得:B型车的购置方案最经济。 方法二:年费法。通过比较每种方案每年的总费用,来选择最经济的方案。将购置费用换算成平均每年购置费用,加上每年使用费,得出每年的总费用,通过比较每年的总费用,来选择最经济的方案。根据公式:平均每年购置费 A型车每年总费用=168000×0.1627+39700=67033.6(元); B型车每年总费用=180000×0.1627+37300=66586(元); C型车每年总费用=200000×0.1627+35800=68340(元); D型车每年总费用=240000×0.1627+33200=72248(元)。 通过比较总费用得:B型车的购置方案最经济。

相关内容:材料,汽车,客运,公司,经营,班线,班车,业务,座位,营运,客车,技术,性能,车辆,外廓尺

猜你喜欢

发表评论
更多 网友评论0 条评论)
暂无评论

访问排行

Copyright © 2012-2014 恰考网 Inc. 保留所有权利。 Powered by tikuer.com

页面耗时0.0371秒, 内存占用1.05 MB, Cache:redis,访问数据库16次