运输业通常用(  )流分析法来计算中心城市间运输联系的强弱程度。A.O-D B.H-D C.I-D D.M-D

作者: rantiku 人气: - 评论: 0
问题 运输业通常用(  )流分析法来计算中心城市间运输联系的强弱程度。
选项 A.O-D B.H-D C.I-D D.M-D
答案 A
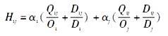
解析 运输联系强度是利用O-D流分析方法,分析中心城市间相互作用强弱的一个指标,用以确定通道中节点的地位。其计算公式如下:

猜你喜欢

发表评论
更多 网友评论0 条评论)
暂无评论

访问排行

Copyright © 2012-2014 恰考网 Inc. 保留所有权利。 Powered by tikuer.com

页面耗时0.0495秒, 内存占用1.03 MB, Cache:redis,访问数据库20次