该航运公司3艘船舶的航行率为(  )。A.67.89% B.69.79% C.78.29% D.80.79% E.82.39%

作者: rantiku 人气: - 评论: 0
问题 该航运公司3艘船舶的航行率为(  )。
选项 A.67.89% B.69.79% C.78.29% D.80.79% E.82.39%
答案 C
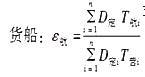
解析 航行率(ε航)是一定时间内船舶航行时间占营运时间的百分比。对于一组船舶,它是一定时间内各船航行吨天总和与营运吨天总和之比。计算公式是:式中,T营i--第i艘船的营运时间,单位:天;T航i--第i艘船的在册时间,单位:天。因此航行率=(1*180+1.5*220+250*2)/(1*250+1.5*280+310*2)=0.7829=78.29%。

猜你喜欢

发表评论
更多 网友评论0 条评论)
暂无评论

访问排行

Copyright © 2012-2014 恰考网 Inc. 保留所有权利。 Powered by tikuer.com

页面耗时0.0459秒, 内存占用1.03 MB, Cache:redis,访问数据库20次