某港区有四艘船舶同时进港,但只能提供一个泊位让杂货船舶装卸作业,其有关数据如下表:根据以上资料进行分析计算,使港口科学合理地完成装卸任务。依据...

作者: rantiku 人气: - 评论: 0
问题 某港区有四艘船舶同时进港,但只能提供一个泊位让杂货船舶装卸作业,其有关数据如下表: 根据以上资料进行分析计算,使港口科学合理地完成装卸任务。 依据判别式T/W值进行艘天计算,正确结果是(  )。
选项
答案 A
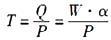
解析 船舶平均在港停留时间最短,即停泊艘天为最少时,W为艘数,此时无论船舶大小,W=1,有T/W=Q/P,要求总先装卸那些装卸时间最短的船舶,式中:Q:船舶实际装卸货物吨数;P:船舶昼夜装卸效率(吨/昼夜)。此时求得T分别为4天、8天、5天和10天。

猜你喜欢

发表评论
更多 网友评论0 条评论)
暂无评论

访问排行

Copyright © 2012-2014 恰考网 Inc. 保留所有权利。 Powered by tikuer.com

页面耗时0.0396秒, 内存占用1.03 MB, Cache:redis,访问数据库19次