某航空公司2004年11月~2007年11月的航班正常率如表所示。若使用简单算术平均法进行预测,该公司2008年11月航班正常率的95%可信度的置信区间为...

作者: rantiku 人气: - 评论: 0
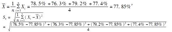
问题 某航空公司2004年11月~2007年11月的航班正常率如表所示。若使用简单算术平均法进行预测,该公司2008年11月航班正常率的95%可信度的置信区间为(  )。(α=0.05所对应的概率度t为1.96)[2008年真题]
选项 A.75.0%~80.0% B.75.7%~80.5% C.75.0%~80.5% D.75.7%~80.0%
答案 D
解析 利用简单算术平均法计算,2008年11月的预测值为: =0.011011,置信区间为77.85%1.96*0.011011,即(75.7%,80.0%)。

猜你喜欢

发表评论
更多 网友评论0 条评论)
暂无评论

访问排行

Copyright © 2012-2014 恰考网 Inc. 保留所有权利。 Powered by tikuer.com

页面耗时0.0501秒, 内存占用1.03 MB, Cache:redis,访问数据库17次