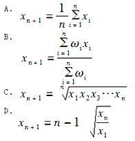
已知某机场前n年的货邮吞吐量为X1,X2,…,Xn,使用简单算术平均法预测该机场第n+1年的货邮吞吐量Xn+1时应使用公式(  )。

作者: rantiku 人气: - 评论: 0
问题 已知某机场前n年的货邮吞吐量为X1,X2,…,Xn,使用简单算术平均法预测该机场第n+1年的货邮吞吐量Xn+1时应使用公式(  )。
选项
答案 A
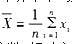
解析 简单算术平均法是一定观察期内,预测指标的时间序列中各期数据的简单算术平均数作为该指标的下期预测值。当预测指标的时间序列围绕其简单算术平均数对应的水平线上下波动时,就可采用此方法进行预测。其预测模型为。式中,表示下一期的预测值,即为时间序列X的简单算术平均数;Xi表示预测指标x的时间序列中第i期值,即预测指标X的时间序列中与时序数i相对应的值;i表示序数(i=1,2,3,…,13);n表示预测指标X的时间序列中的数据个数。

猜你喜欢

发表评论
更多 网友评论0 条评论)
暂无评论

访问排行

Copyright © 2012-2014 恰考网 Inc. 保留所有权利。 Powered by tikuer.com

页面耗时0.0293秒, 内存占用1.03 MB, Cache:redis,访问数据库18次