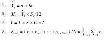
趋势外推法的计算公式为(  )。

作者: rantiku 人气: - 评论: 0
问题 趋势外推法的计算公式为(  )。
选项
答案 A
解析 B项为季节指数法的计算公式;C项为时间序列分解模型的计算公式;D项为一次移动平均法的计算公式。

猜你喜欢

发表评论
更多 网友评论0 条评论)
暂无评论

访问排行

Copyright © 2012-2014 恰考网 Inc. 保留所有权利。 Powered by tikuer.com

页面耗时0.0384秒, 内存占用1.03 MB, Cache:redis,访问数据库17次