某公司发行500万股普通股,每股发行价格为10元,每年预期每股股利为1元,筹资费率为10%,则该普通股成本为(  )。A.6.70% B.7.44% ...

作者: rantiku 人气: - 评论: 0
问题 某公司发行500万股普通股,每股发行价格为10元,每年预期每股股利为1元,筹资费率为10%,则该普通股成本为(  )。
选项 A.6.70% B.7.44% C.10.00% D.11.11%
答案 D
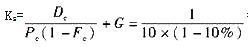
解析 =11.11%。式中:Ks为普通股成本;DC为预期年股利额;PC为普通股筹资额;FC为普通股筹资费用率;G为普通股利年增长率。

猜你喜欢

发表评论
更多 网友评论0 条评论)
暂无评论

访问排行

Copyright © 2012-2014 恰考网 Inc. 保留所有权利。 Powered by tikuer.com

页面耗时0.0415秒, 内存占用1.03 MB, Cache:redis,访问数据库20次