设A站至B站里程为2084公里,根据所用运行图,每日开行某列车一对,列车编组18辆,客运人员42人,包乘制,该月日历天数30天,乘务员该月工作166.7小...

作者: rantiku 人气: - 评论: 0
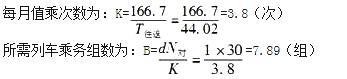
问题 设A站至B站里程为2084公里,根据所用运行图,每日开行某列车一对,列车编组18辆,客运人员42人,包乘制,该月日历天数30天,乘务员该月工作166.7小时,列车乘务组的一次往返乘务时间为44.02小时。该次列车该月需要客运人员(  )人。
选项 A.378 B.346 C.332 D.318
答案 C
解析 每组乘务人员42人,该列车需客运乘务人员为:7.89*42=332(人)。

猜你喜欢

发表评论
更多 网友评论0 条评论)
暂无评论

访问排行

Copyright © 2012-2014 恰考网 Inc. 保留所有权利。 Powered by tikuer.com

页面耗时0.0434秒, 内存占用1.03 MB, Cache:redis,访问数据库13次