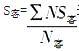
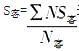
表示(  )。A.旅客列车技术速度 B.速度系数 C.旅客列车旅行速度 D.客车平均日车公里

作者: rantiku 人气: - 评论: 0
问题 表示(  )。
选项 A.旅客列车技术速度 B.速度系数 C.旅客列车旅行速度 D.客车平均日车公里
答案 D
解析 客车平均日车公里,指某一客车车底内每辆客车或全部客车中每辆运用车在一昼夜内平均走行的公里数,即:S客=。式中,S客表示客车日车公里;∑NS客表示客车公里总数;N客表示运用客车数。

猜你喜欢

发表评论
更多 网友评论0 条评论)
暂无评论

访问排行

Copyright © 2012-2014 恰考网 Inc. 保留所有权利。 Powered by tikuer.com

页面耗时0.0513秒, 内存占用1.03 MB, Cache:redis,访问数据库17次