某企业向银行贷款1000万元购买一设备,年利率10%,从贷款后第1年开始,平均分4年还清本利。该企业每年需偿还(  )万元。A.239.05 B.25...

作者: rantiku 人气: - 评论: 0
问题 某企业向银行贷款1000万元购买一设备,年利率10%,从贷款后第1年开始,平均分4年还清本利。该企业每年需偿还(  )万元。
选项 A.239.05 B.250.28 C.315.47 D.350.23
答案 C
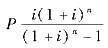
解析 根据定义,年金(A)和现值(P)的换算可用公式表示为:A=, 已知现值P为1000万,利率为10%,上式整理后代入数据可得A=315.47万元。

猜你喜欢

发表评论
更多 网友评论0 条评论)
暂无评论

访问排行

Copyright © 2012-2014 恰考网 Inc. 保留所有权利。 Powered by tikuer.com

页面耗时0.0276秒, 内存占用1.03 MB, Cache:redis,访问数据库20次