某联合运输公司2011年年初投资7986万人民币建立运行控制系统。若在5年内等额回收投资,每年应回收(  )万人民币(年利率为8%)。A.1800 B...

作者: rantiku 人气: - 评论: 0
问题 某联合运输公司2011年年初投资7986万人民币建立运行控制系统。若在5年内等额回收投资,每年应回收(  )万人民币(年利率为8%)。
选项 A.1800 B.1900 C.2000 D.2100
答案 C
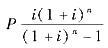
解析 每年应回收:A==7986*8%*1.085/(1.085-1)=2000(万)。

猜你喜欢

发表评论
更多 网友评论0 条评论)
暂无评论

访问排行

Copyright © 2012-2014 恰考网 Inc. 保留所有权利。 Powered by tikuer.com

页面耗时0.0285秒, 内存占用1.03 MB, Cache:redis,访问数据库19次