某滞洪区滞洪后沉积泥砂层厚3.0m,如图1-10所示,地下水位由原地面下1.0m升至现地面下1.0m,原地面下有厚5.0m可压缩层,平均压缩模量为0.5M...

作者: tihaiku 人气: - 评论: 0
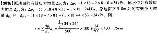
问题 某滞洪区滞洪后沉积泥砂层厚3.0m,如图1-10所示,地下水位由原地面下1.0m升至现地面下1.0m,原地面下有厚5.0m可压缩层,平均压缩模量为0.5MPa,滞洪之前沉降已经完成,为简化计算,所有土层的天然重度都以18kN/m3计,请计算由滞洪引起的原地面下沉值将最接近( )cm。 A. 51 B. 31 C. 25 D. 21
选项
答案 C
解析

相关内容:某滞,滞洪,沉积,泥砂层,如图,1-10所示,地下,水位,原地,现地,地面,下有,模量,0.5M...

猜你喜欢

发表评论
更多 网友评论0 条评论)
暂无评论

访问排行

Copyright © 2012-2014 恰考网 Inc. 保留所有权利。 Powered by tikuer.com

页面耗时0.0324秒, 内存占用1.04 MB, Cache:redis,访问数据库17次