图示梁自重不计,在集中重量W作用下,C点的竖向位移Δc =1cm,则该体系的自振周期为: A. 0.032s B. 0.201s C. 0. 319...

作者: tihaiku 人气: - 评论: 0
问题 图示梁自重不计,在集中重量W作用下,C点的竖向位移Δc =1cm,则该体系的自振周期为: A. 0.032s B. 0.201s C. 0. 319s D. 2. 007s
选项
答案 B
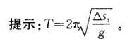
解析

相关内容:梁自重,自重,重量,作用,位移,体系,自振,周期,0.032s,0.201s,319...

猜你喜欢

发表评论
更多 网友评论0 条评论)
暂无评论

访问排行

Copyright © 2012-2014 恰考网 Inc. 保留所有权利。 Powered by tikuer.com

页面耗时0.0275秒, 内存占用1.05 MB, Cache:redis,访问数据库19次