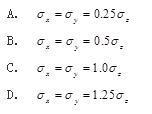
已知均质各项异性岩体呈水平层状分布,其水平向与垂直向的弹模比为2:1,岩石的泊松比为0.3,岩石的容重为γ,问深度h处的自重应力状态是

作者: tihaiku 人气: - 评论: 0
问题 已知均质各项异性岩体呈水平层状分布,其水平向与垂直向的弹模比为2:1,岩石的泊松比为0.3,岩石的容重为γ,问深度h处的自重应力状态是
选项
答案 C
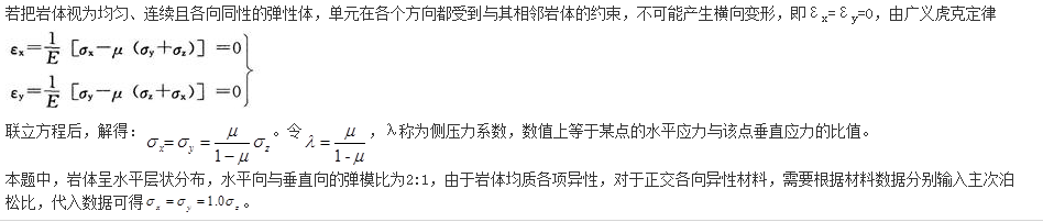
解析

相关内容:异性,岩体,水平,层状,弹模,岩石,泊松,容重,深度,自重,应力,状态

猜你喜欢

发表评论
更多 网友评论0 条评论)
暂无评论

访问排行

Copyright © 2012-2014 恰考网 Inc. 保留所有权利。 Powered by tikuer.com

页面耗时0.0320秒, 内存占用1.05 MB, Cache:redis,访问数据库19次