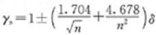
在岩土参数标准值计算中,常采用公式,此式在统计学中采用的单侧置信概率为()。 A. 0.99 B. 0.975 C. 0.95 D. 0.90

作者: tihaiku 人气: - 评论: 0
问题 在岩土参数标准值计算中,常采用公式,此式在统计学中采用的单侧置信概率为()。 A. 0.99 B. 0.975 C. 0.95 D. 0.90
选项
答案 C
解析

相关内容:岩土,参数,标准值,常采用,公式,此式,统计学,中采,单侧,概率

猜你喜欢

发表评论
更多 网友评论0 条评论)
暂无评论

访问排行

Copyright © 2012-2014 恰考网 Inc. 保留所有权利。 Powered by tikuer.com

页面耗时0.0415秒, 内存占用1.05 MB, Cache:redis,访问数据库19次