若软弱下卧层承载力不能满足要求,下列措施无效的是( )。A.增大基础面积 B.减小基础埋深 C.提高混凝土强度等级 D.采用补偿式基础

作者: tihaiku 人气: - 评论: 0
问题 若软弱下卧层承载力不能满足要求,下列措施无效的是( )。
选项 A.增大基础面积 B.减小基础埋深 C.提高混凝土强度等级 D.采用补偿式基础
答案 C
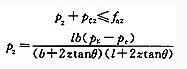
解析 据《建筑地基基础设计规范》(GB 50007—2002)5.2.7条,有软弱下卧层时 增大基础面积可使附加应力减小,从而使软弱下卧层顶面处的附加应力pz减小;减小基础埋深可使基础底面处的附加应力在持力层中的扩散范围增大,即z增加后使得(b+2ztanθ)(l+2ztanθ)增加,从而使pz减小;提高混凝土的强度等级只能使基础本身的强度增加,对地基持力层及软弱下卧层中的应力分布无影响,采用补偿式基础可使附加应力减小,从而使久减小。因此,提高混凝土的强度等级对软弱下卧层承载力不满足要求的情况是无效的。

相关内容:下卧层,承载力,措施,基础,面积,埋深,混凝土,强度,等级,补偿

猜你喜欢

发表评论
更多 网友评论0 条评论)
暂无评论

访问排行

Copyright © 2012-2014 恰考网 Inc. 保留所有权利。 Powered by tikuer.com

页面耗时0.0282秒, 内存占用1.04 MB, Cache:redis,访问数据库17次