当偏心距e>b/6时,基础底面最大边缘应力的计算公式是按( )导出的。A. 满足竖向力系的平衡 B. 满足绕基础底面中心的力矩平衡 C. 满足绕...

作者: tihaiku 人气: - 评论: 0
问题 当偏心距e>b/6时,基础底面最大边缘应力的计算公式是按( )导出的。
选项 A. 满足竖向力系的平衡 B. 满足绕基础底面中心的力矩平衡 C. 满足绕基础底面边缘的力矩平衡 D. 同时满足竖向力系的平衡和绕基础底面中心的力矩平衡
答案 D
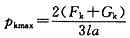
解析 据《建筑地基基础设计规范》(GB 50007—2002)5.2.2条当偏心距e>b/6时 该公式是在同时满足竖向力系平衡和绕基础底面中心的力矩平衡的条件下推导出来的,即假定基础底面以上的合力与基础底面以下的地基反力的合力大小相等,方向相反,作用于同一直线上(见规范图5.2.2)。 由基础底面反力与Fk+Gk作用于同一直线上可知,底面反力的合力距pkmax边缘的距离为α,基础底面反力的分布面积为3αl,故可推导出

相关内容:基础,底面,边缘,应力,公式,中心,力矩

猜你喜欢

发表评论
更多 网友评论0 条评论)
暂无评论

访问排行

Copyright © 2012-2014 恰考网 Inc. 保留所有权利。 Powered by tikuer.com

页面耗时0.0330秒, 内存占用1.04 MB, Cache:redis,访问数据库17次