室内测得岩石的饱和单轴极限抗压强度为30MPa,干燥岩块单轴极限抗压强度为50MPa,则岩石的软化系数是( )。 A. 0.4 B. 0.6 C. 0....

作者: tihaiku 人气: - 评论: 0
问题 室内测得岩石的饱和单轴极限抗压强度为30MPa,干燥岩块单轴极限抗压强度为50MPa,则岩石的软化系数是( )。 A. 0.4 B. 0.6 C. 0.67 D. 1.67
选项
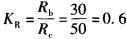
答案 B
解析 岩石的软化系数是指同种岩石的饱和极限抗压强度与干燥极限抗压强度之比,即:

相关内容:室内,岩石,饱和,单轴,极限,强度,岩块,系数

猜你喜欢

发表评论
更多 网友评论0 条评论)
暂无评论

访问排行

Copyright © 2012-2014 恰考网 Inc. 保留所有权利。 Powered by tikuer.com

页面耗时0.0302秒, 内存占用1.05 MB, Cache:redis,访问数据库18次