在岩土参数标准值计算中,常采用公式,此式在统计学中采用的置信概率是( )。 A. 0.99 B. 0.975 C. 0.95 D. 0.90

作者: tihaiku 人气: - 评论: 0
问题 在岩土参数标准值计算中,常采用公式,此式在统计学中采用的置信概率是( )。 A. 0.99 B. 0.975 C. 0.95 D. 0.90
选项
答案 C
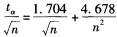
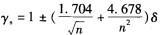
解析 《岩土工程勘察规范》(GB 50021 —2001) (2009年版)条文说明第14. 2. 4条规定, 统计修正系数γs = 1 ±taδ式中ta为统计学中的学生氏函数的界限值,一般取置信概率α为95%。通过拟合可求得近似公式:.

相关内容:岩土,参数,标准值,常采用,公式,此式,统计学,中采,概率

猜你喜欢

发表评论
更多 网友评论0 条评论)
暂无评论

访问排行

Copyright © 2012-2014 恰考网 Inc. 保留所有权利。 Powered by tikuer.com

页面耗时0.0521秒, 内存占用1.05 MB, Cache:redis,访问数据库19次