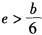
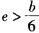
当偏心距时,基础底面最大边缘应力的计算公式是按( )导出的。 A.满足竖向力系的平衡 B.满足绕基础底面中心的力矩平衡 C.满足绕基础底面边缘的力矩...

作者: tihaiku 人气: - 评论: 0
问题 当偏心距时,基础底面最大边缘应力的计算公式是按( )导出的。 A.满足竖向力系的平衡 B.满足绕基础底面中心的力矩平衡 C.满足绕基础底面边缘的力矩平衡 D.同时满足竖向力系的平衡和绕基础底面中心的力矩平衡
选项
答案 D
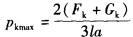
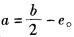
解析 根据《建筑地基基础设计规范》(GB 50007-2002)第5. 2. 2条第2款,当时,pmin<0,由于基底与地基土之间不能承受拉力,此时,基底与地基局部脱离,而使基底压力重新分布。因此,根据荷载与基底反力合力相平衡的条件,荷载合力应通过三角形反力分布图的形心,由此可得基底边缘的最大压力为:,式中

相关内容:距时,基础,底面,边缘,应力,公式,中心,力矩

猜你喜欢

发表评论
更多 网友评论0 条评论)
暂无评论

访问排行

Copyright © 2012-2014 恰考网 Inc. 保留所有权利。 Powered by tikuer.com

页面耗时0.0340秒, 内存占用1.05 MB, Cache:redis,访问数据库19次