某原状土样试验测得其重度为17kN/m3,含水量15%, 土的相对密度(比重)为2. 72。则下列各项中,该土样的孔隙比最接近( )。 A. 0. 56...

作者: tihaiku 人气: - 评论: 0
问题 某原状土样试验测得其重度为17kN/m3,含水量15%, 土的相对密度(比重)为2. 72。则下列各项中,该土样的孔隙比最接近( )。 A. 0. 56 B. 0.65 C. 0. 75 D. 0. 84
选项
答案 D
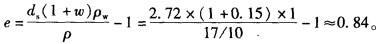
解析 由孔隙比的计算公式可得:该土样的孔隙比

相关内容:原状,土样,试验,含水量,密度,比重,该土样,孔隙

猜你喜欢

发表评论
更多 网友评论0 条评论)
暂无评论

访问排行

Copyright © 2012-2014 恰考网 Inc. 保留所有权利。 Powered by tikuer.com

页面耗时0.0400秒, 内存占用1.04 MB, Cache:redis,访问数据库19次