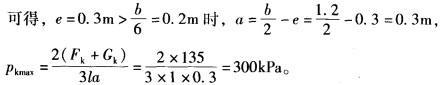
如图3-3所示,柱基底面尺寸为1.2m×1.0m,作用于基础底面的偏心荷载Fk + Gk = 135kN,当偏心距e为0.3m时基础底面边缘的最大压力Pk...

作者: tihaiku 人气: - 评论: 0
问题 如图3-3所示,柱基底面尺寸为1.2m×1.0m,作用于基础底面的偏心荷载Fk + Gk = 135kN,当偏心距e为0.3m时基础底面边缘的最大压力Pkmax为( )kPa。 A. 250 B. 275 C. 300 D. 325
选项
答案 C
解析 根据《建筑地基基础设计规范》(GB 50007 — 2002)第5. 2节,将题中条件代入计算

相关内容:如图,3-3所示,柱基,底面,尺寸,基础,荷载,边缘,压力

猜你喜欢

发表评论
更多 网友评论0 条评论)
暂无评论

访问排行

Copyright © 2012-2014 恰考网 Inc. 保留所有权利。 Powered by tikuer.com

页面耗时0.0460秒, 内存占用1.05 MB, Cache:redis,访问数据库19次